重新認識pytorch(1)

從一個分類問題開始

note
python
pytorch
作者

紙魚

發佈於

2025年8月21日

摘要
為了研究 LSTM 與神經網路(neural network,以下簡稱 nn),重新認識 pytorch 。

主要內容引用自 「李金洪. 2022. 全格局使用 PyTorch - 深度學習和圖神經網路 - 基礎篇. 深智數位」。

安裝注意事項

不同電腦適用的安裝程序不同,一定要去官網觀看,點此。我的情況是 Windows + 沒有CUDA + virtualenv虛擬環境,只需要在虛擬環境中 pip install 即可。

從建立一個簡易的模型分析分類問題開始

本例使用模擬出的月亮資料,先生成資料,並繪圖看資料長相:

# import sklearn.datasets
from sklearn.datasets import make_moons
import torch
import numpy as np
import matplotlib.pyplot as plt


np.random.seed(123)
X, Y = make_moons(n_samples=200, noise=0.2) # 2組資料

arg = np.squeeze(np.argwhere(Y==0), axis=1)
arg2 = np.squeeze(np.argwhere(Y==1), axis=1)

plt.title("moon data")
plt.scatter(X[arg,0], X[arg,1],s=100, c='b',marker='+',label='data1')
plt.scatter(X[arg2,0], X[arg2,1],s=40, c='r',marker='+',label='data2')
plt.legend()
plt.show()

from sklearn.datasets import make_moons

匯入 scikit-learn 的資料集模組中的make_moons,用來產生內建的資料集,例如月牙型的 make_moons

import torch

匯入 PyTorch,用於後續的神經網路模型(尚未使用,但後面會用)。

import numpy as np

匯入 NumPy,進行數值與陣列操作(例如索引與隨機種子)。

import matplotlib.pyplot as plt

匯入 Matplotlib 的 pyplot 模組,用來畫圖顯示資料分佈或訓練過程。

np.random.seed(0)

設定 NumPy 的隨機種子,確保每次執行結果一致(資料點位置固定)。

X, Y = sklearn.datasets.make_moons(200, noise=0.2)  # 2組資料

產生 200 筆「moon」型資料(非線性分類資料集),加入 0.2 的隨機雜訊(增加資料真實性)。

  • X: shape = (200, 2),為 2D 特徵資料點。
  • Y: shape = (200,),標籤為 0 或 1,對應兩個半月形。
arg = np.squeeze(np.argwhere(Y==0), axis=1)

找出所有 Y==0 的索引值,用於分組顯示。

  • argwhere(Y==0) → 回傳符合條件的索引陣列(形如 (n, 1))
  • squeeze(..., axis=1) → 壓縮掉多餘的維度,讓 arg 成為 1D 陣列
arg2 = np.squeeze(np.argwhere(Y==1), axis=1)
  • 同上,找出標籤為 1 的資料索引。
plt.title("moon data")
  • 設定圖形的標題為 “moon data”
plt.scatter(X[arg,0], X[arg,1], s=100, c='r', marker='+', label='data1')
  • 畫出標籤為 0 的資料點(藍色 + 號,大小 100)。
plt.scatter(X[arg2,0], X[arg2,1], s=40, c='b', marker='+', label='data2')

畫出標籤為 1 的資料點(紅色 + 號,大小 40)。

plt.legend()

顯示圖例,對應 label='data1'label='data2'

plt.show()

我們的目標是建立一個模型可以好好區分這兩組資料。

定義模型及函數

因為只是模擬資料,我們略過區分訓練集與測試集的步驟,直接來建立模型。本次使用一個簡單的兩層nn模型LogicNet,這個模型可視作羅吉斯迴歸的延伸,只是多個隱藏層(hidden layer)的設定。一個 nn 模型中還會需要搭配損失函數,這裡配的是交叉熵損失函數(Cross-Entrop)用來做分類。

LogicNet的模型結構與數學式分別如下:

Input (inputdim)


Linear1 ────► [Linear Layer: inputdim → hiddendim]


Tanh ───────► [非線性(NL): tanh]


Linear2 ────► [Linear Layer: hiddendim → outputdim]


Output (logits)

令:

  • 輸入:\(\mathbf{x} \in \mathbb{R}^{\text{inputdim}}\)
  • 第一層(Linear1)權重、偏差:\(W_1, b_1\)
  • 第二層(Linear2)權重、偏差:\(W_2, b_2\)

那模型的輸出為:

\[ \begin{aligned} \mathbf{h} &= \tanh(W_1 \mathbf{x} + b_1) \quad \text{(隱藏層輸出)} \\ \mathbf{z} &= W_2 \mathbf{h} + b_2 \quad \text{(logits)} \\ \end{aligned} \]

最終輸出 \(\mathbf{z}\)未經 softmax 演算法 的 logits,這是為了符合 PyTorch 的 CrossEntropyLoss() 要求,因為它內部會自動做 softmax。

softmax 本質上也屬於 activation function的一種,它能將一個含任意實數的K維向量 \(z\)「壓縮」到另一個K維實向量 \(\sigma (z)\) ,使得每一個元素的範圍都在(0,1)之間,公式為:

\[\sigma (z)_j=\frac{e^{z_j}}{\sum _{k=1}^{K}e^{z_{jk}}}\]

詳細可見wiki

簡單來說,softmax 算出來的東西是機率。

為什麼這裡 activation function 用 tanh
  • tanh 是一種非線性函數,將輸出壓在 \([-1, 1]\)
  • 適用於資料已經經過標準化(例如 make_moons 資料範圍在 ±1 內)
  • 也可以改用更為通用的 ReLU,它的收斂速度通常更快。不過 tanh 有時在小模型且資料差異大中表現穩定。

整體建立模型的流程為:

  1. 定義模型的網路結構

  2. 將網路結構按前向傳播(forward propagation)建立

  3. 利用架設好的介面,得到模型預測結果

  4. 計算模型誤差,在反向傳播(back propagation)時使用

程式部分我們建立可以控制input data 的 dimension、hidden dimension(=隱藏層數量),output data 的 dimension等的模型函數。 code 如下,可另存 .py後再匯入到主程式裡:

import torch.nn as nn
import torch
import numpy as np
import matplotlib.pyplot as plt

class LogicNet(nn.Module): 
    def __init__(self, inputdim, hiddendim, outputdim):
        super(LogicNet,self).__init__()
        self.Linear1 = nn.Linear(inputdim,hiddendim) # 連階層
        self.Linear2 = nn.Linear(hiddendim,outputdim)
        self.criterion = nn.CrossEntropyLoss() # 定義交叉熵

    # 前向傳播
    def forward(self, x):
        x = self.Linear1(x) # 將資料傳入第一層
        x = torch.tanh(x) # 做 NL
        x = self.Linear2(x)
        return x

    def predict(self, x):
        pred = torch.softmax(self.forward(x), dim=1)
        return torch.argmax(pred,dim=1)

    # 反向傳播
    def getloss(self,x,y):
        y_pred = self.forward(x)
        loss = self.criterion(y_pred,y) # 計算loss CrossEntropy
        return loss

PyTorch 中的所有神經網路模型都應繼承自 torch.nn.Module。這樣做的好處是:

  1. 可以自動註冊所有子層(如 nn.Linear

  2. 支援 .to(device).eval().train() 等常用方法

  3. 可以很簡單地使用 PyTorch 提供的訓練工具,例如 optimizer.step()loss.backward()

此外,從OOP的角度而言,把模型寫成一個class可以讓模型變成一個完整的物件,更易維護。

這裡除了 activation function 外,還定義了 criterion,即 loss function。loss function是決定模型學習品質的關鍵,用來計算輸出值與目標值間的誤差。一般在連續的實數資料上會用 MSE ,不過在實務上會根據不同的結構、任務決定不同的 loss function ,這裡使用的是交叉熵損失函數(Cross Entropy Loss),適用於分類問題。

建立模型

如前所述,我們現在來正式建立模型。因為模擬資料都是2維的,dimension = 2,隱藏層數量可以自行設定,這裡設定 3 個隱藏層:

model = LogicNet(inputdim=2, hiddendim=3, outputdim =2)
optimizer = torch.optim.Adam(model.parameters(), lr=0.01 )
# 印出模型資訊
print("model structure and loss function/criterion: \n")
print(model)
print("optimizer is : \n")
print(optimizer)
model structure and loss function/criterion: 

LogicNet(
  (Linear1): Linear(in_features=2, out_features=3, bias=True)
  (Linear2): Linear(in_features=3, out_features=2, bias=True)
  (criterion): CrossEntropyLoss()
)
optimizer is : 

Adam (
Parameter Group 0
    amsgrad: False
    betas: (0.9, 0.999)
    capturable: False
    decoupled_weight_decay: False
    differentiable: False
    eps: 1e-08
    foreach: None
    fused: None
    lr: 0.01
    maximize: False
    weight_decay: 0
)

學習率(learning rate)

lr = 學習率(learning rate)learning rate,代表控制模型中梯度下降的速度,它決定了每次迭代的步長,使得optimizer向損失函數的最小值前進。數值越小,模型越能訓練準確,但相對應訓練較耗時。

學習率與模型權重間的關係為:

新權重= 舊權重- 學習率* 梯度

最佳化器(optimizer)

在模型訓練的過程中,往往難以一次就將權重參數調整好,需要透過多次迭代,搭配好的最佳化策略才可以實現。這裡的最佳化策略就是一個演算法,也就是梯度下降法。梯度下降法有很多種,因此也是一個可以調整的參數。

在 pytorch 中,在訓練模型前需要先指定一個最佳化器物件,也就是最佳化器(optimizer)。實務上經常使用Adam作為最佳化器,數學式請見此Adam本身包含很多參數,常用的有待最佳化權重參數(固定為model.parameters())及學習率。

訓練模型

在 pytorch 中,訓練模型前需先將資料轉成張量(Tensor)後再處理。

張量

張量是一種矩陣形式,可以理解成在一個大矩陣中分割出來的小矩陣。因此:

  • 0 dimension 的張量 = 純量 (Scalar)
  • 1 dimension 的張量 = 向量 (Vector)
  • 2 dimension 的張量 = 2 \(\times\) 矩陣 (2 \(\times\) 2 Matrix)

圖示如下:

訓練模型與計算 loss

回到正題,接著再訓練模型與計算 loss:

## 訓練模型
# 轉成張量
xt = torch.from_numpy(X).type(torch.FloatTensor) # numpy to tensor
yt =  torch.from_numpy(Y).type(torch.LongTensor)
epochs = 1000 # 迭代次數
losses =[] #準備接收每一步的loss
for i in range(epochs):
    loss = model.getloss(xt,yt)
    losses.append(loss.item())
    optimizer.zero_grad() #清空之前的梯度
    loss.backward()
    optimizer.step() #更新參數

接著看看訓練結果: 

import matplotlib.pyplot as plt

plt.plot(losses)
plt.xlabel('Epoch')
plt.ylabel('Loss')
plt.title('Training Loss Over Time')
plt.grid(True)
plt.show()

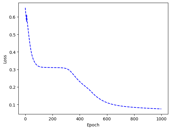
或者先對 loss 值做平滑處理,再視覺化,可以使某些訓練過程中產生的loss線條看起來比較平滑。這裡以moving average為例:

def moving_average(a, w=10):
    if len(a)<w:
        return a[:]
    return [val if idx < w else sum(a[(idx-w):idx])/w for idx, val in enumerate(a)]

def plot_losses(losses):
    avgloss= moving_average(losses)
    plt.figure(i)
    plt.plot(range(len(avgloss)), avgloss, 'b--')
    plt.xlabel('Epoch')
    plt.ylabel('Loss')
    plt.show()

plot_losses(losses)

評估模型

accuracy_score()是一個來自 sklearn.metrics 的函數,用來計算模型預測結果的 分類準確率(Accuracy),直觀理解為:模型預測正確的樣本數 / 全部樣本數。

klearn文件紀錄,詳細數學定義為:

If $_i$ is the predicted value of the $i$-th sample and \(y_i\) is the corresponding true value, then the fraction of correct predictions over \(n_{samples}\) samples is defined as:

\[ \text{Accuracy}(y, \hat y) = \frac{1}{n_{samples}} \sum_{i=1}^{n_{samples}-1} \mathbf{1}(\hat{y}_i = y_i) \]

where \(\mathbf{1}(\hat{y}_i = y_i)\) is the indicator function, which equals 1 if the prediction is correct, and 0 otherwise.

code實際執行起來很簡單:

from sklearn.metrics import accuracy_score
print("accuracy_score:", accuracy_score(model.predict(xt),yt))

除此之外,因為本次資料dimension只有2維,可以畫決策邊界圖看看分得如何:

def predict(x):
    x = torch.from_numpy(x).type(torch.FloatTensor)
    ans=model.predict(x)
    return ans.numpy()

def plot_decision_boundary(pred_func, X, Y):
    # 計算設定值範圍
    x_min, x_max =X[:,0].min() - .5,X[:,0].max() + .5
    y_min, y_max =X[:,1].min() - .5,X[:,1].max() + .5  
    h = 0.01
    # 生成網格矩陣
    xx, yy=np.meshgrid(np.arange(x_min,x_max,h), np.arange(y_min,y_max,h))
    Z = pred_func(np.c_[xx.ravel(),yy.ravel()])
    Z = Z.reshape(xx.shape)
    plt.contourf(xx,yy,Z,cmap=plt.cm.Spectral)
    arg = np.squeeze(np.argwhere(Y==0),axis=1)
    arg2 = np.squeeze(np.argwhere(Y==1),axis=1)
    plt.scatter(X[arg,0],X[arg,1], s=100, c='r', marker='+')
    plt.scatter(X[arg2,0],X[arg2,1], s=100, c='b', marker='+')
    plt.show()
plot_decision_boundary(lambda x: predict(x), xt.numpy(),yt.numpy())

實際執行時,nn的 node 的初始值是隨機的,每次訓練過程都是從初始值開始調節,所以每次執行完做的模型評估結果都會有些微的不同,但accuracy_score()分數整體會在一個範圍浮動,差異不大。

補充區塊

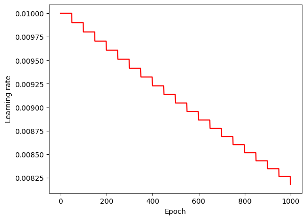
學習率調整 (Learning Rates Scheduler)

學習率基本上是固定的,不過也有方法讓學習率隨迭代次數上升而變小,叫做學習率調整 (Learning Rates Scheduler),在pytorch裡可以用 lr_scheduler()實現。

這裡做個示範,設定為:每50步\(\times\) 0.99。

# record losses and lr
losses =[]
lr_list = []
epochs = 1000
scheduler = torch.optim.lr_scheduler.StepLR(optimizer, step_size=50,gamma=0.99) # 設定:每50步x0.99

for i in range(epochs):
    loss = model.getloss(xt,yt)
    losses.append(loss.item())
    optimizer.zero_grad()
    loss.backward()
    optimizer.step()
    scheduler.step()
    lr = optimizer.state_dict()['param_groups'][0]['lr']
    lr_list.append(lr)
plt.plot(range(epochs),lr_list,color='r')
plt.xlabel('Epoch')
plt.ylabel('Learning rate')
plt.show()

還有一種常用的學習率調整設定-MultiStepLR,可以設定迭代到第幾次再做調整,使得訓練起來比前一種有效率。

# record losses and lr
losses =[]
lr_list = []
epochs = 1000
scheduler = torch.optim.lr_scheduler.MultiStepLR(optimizer, milestones=[200, 700, 800],gamma=0.9) # 設定:每50步x0.99

for i in range(epochs):
    loss = model.getloss(xt,yt)
    losses.append(loss.item())
    optimizer.zero_grad()
    loss.backward()
    optimizer.step()
    scheduler.step()
    lr = optimizer.state_dict()['param_groups'][0]['lr']
    lr_list.append(lr)
plt.plot(range(epochs),lr_list,color='r')
plt.xlabel('Epoch')
plt.ylabel('Learning rate')
plt.show()

保存模型

通常一個模型需要長時間的訓練,所以 pytorch 可以保存模型,供下次進行預訓練或直接使用:

torch.save(model.state_dict(),'./model.pth')

這個model.pth便是模型檔案。如要載入模型,則可以:

model.load_state_dict(torch.load('./model.pth'))

執行後 model 中的值將跟model.pth同步。

無符合的項目